Les datagrammes, de la machine à penser à l’Internet global
Le Génie Français et le Rendez-vous Manqué de l’Internet
Introduction
L’humanité a toujours été fascinée par la capacité à étendre ses propres facultés. Le rêve de mécaniser la pensée, d’automatiser le calcul et de fiabiliser la mémoire humaine, bien que semblant lointain, a guidé des générations de penseurs et d’ingénieurs. Des premières tentatives de machines à calculer aux ordinateurs sophistiqués d’aujourd’hui, l’évolution a été exponentielle. Mais l’histoire ne s’arrête pas à la machine isolée. L’interconnexion de ces « machines à penser » a donné naissance à l’Internet, une révolution dont les racines plongent dans des concepts audacieux et des choix stratégiques majeurs. Ce document explorera cette trajectoire, des fondations théoriques de l’informatique à la naissance des réseaux décentralisés, en mettant en lumière le rôle paradoxal et finalement manqué de la France dans cette aventure technologique mondiale, avant de décrire l’évolution fulgurante de l’Internet jusqu’à nos jours et ses perspectives pour les décennies à venir.
Les Fondements Théoriques et les Premières Machines
L’histoire de l’informatique, bien avant l’avènement des ordinateurs électroniques, est celle d’une quête incessante pour décharger l’esprit humain des tâches répétitives et complexes. Cette quête a commencé par la mécanisation du calcul, pour ensuite s’étendre à la formalisation de la logique elle-même.

Dès le XVIIe siècle, des esprits brillants posent les premières pierres. En 1642, le philosophe et mathématicien français Blaise Pascal invente la « Pascaline », une machine capable d’effectuer des additions et des soustractions, conçue pour aider son père dans ses calculs fiscaux. Quelques décennies plus tard, en 1673, le polymathe allemand Gottfried Wilhelm Leibniz va plus loin avec sa « Stepped Reckoner », ou « roue de Leibniz », capable d’effectuer les quatre opérations arithmétiques. Ces machines, bien que mécaniques et limitées, furent des jalons fondamentaux, démontrant la faisabilité d’une automatisation du calcul.
Le XIXe siècle voit une rupture théorique majeure avec Charles Babbage. Ce mathématicien britannique imagine la « machine analytique », un ancêtre conceptuel de l’ordinateur moderne. Bien que jamais entièrement construite de son vivant en raison des limitations technologiques de l’époque, son design intégrait des concepts révolutionnaires : un « moulin » (unité de calcul), un « magasin » (mémoire) et un système de cartes perforées pour l’entrée des données et des instructions. C’est Ada Lovelace, fille de Lord Byron et collaboratrice de Babbage, qui en comprendra la portée la plus profonde. Elle décrit comment la machine pourrait aller au-delà du simple calcul numérique pour manipuler des symboles et exécuter des séquences d’opérations complexes, posant ainsi les bases du concept de programme informatique. Elle est souvent considérée comme la première programmeuse de l’histoire.

Le XXe siècle marque la transition de la théorie à la réalisation pratique à grande échelle. Les fondements logiques de l’informatique moderne se précisent avec des figures emblématiques. En 1936, le mathématicien britannique Alan Turing formalise la notion de « machine universelle de Turing », un modèle abstrait qui démontre qu’une seule machine peut simuler n’importe quel algorithme. Ce concept est fondamental car il établit les limites et les possibilités de tout calcul formalisable. Parallèlement, les travaux de Kurt Gödel sur l’incomplétude, d’Alonzo Church sur la calculabilité, puis de John von Neumann sur l’architecture des ordinateurs, dessinent les contours d’une nouvelle science : le traitement automatique de l’information. L’architecture de von Neumann, décrivant un ordinateur avec une unité centrale de traitement, une mémoire de stockage des programmes et des données, et des périphériques d’entrée/sortie, reste la base de la quasi-totalité des ordinateurs actuels.
La Seconde Guerre Mondiale fut un catalyseur brutal et inattendu pour l’avènement des ordinateurs. Les besoins militaires en matière de calcul balistique, de décryptage et de logistique exigeaient une puissance de calcul inédite. C’est dans ce contexte que naissent les premiers ordinateurs électromécaniques et électroniques. Le Harvard Mark I, mis en service en 1944, était un calculateur électromécanique géant. Mais c’est l’ENIAC (Electronic Numerical Integrator and Computer), opérationnel en 1946 à l’Université de Pennsylvanie, qui est souvent cité comme le premier ordinateur électronique numérique à grande échelle. Pesant près de 30 tonnes et occupant une pièce entière, l’ENIAC utilisait des milliers de tubes à vide et inaugurait l’ère de l’informatique électronique, ouvrant la voie à des avancées qui allaient bientôt dépasser les frontières de la machine isolée.

La Naissance des Réseaux et le Concept de Décentralisation
Une fois les machines à calculer établies, la question naturelle suivante est apparue : comment faire communiquer ces machines entre elles ? Ce besoin n’était pas seulement une commodité, mais une nécessité impérative pour le partage des ressources, la collaboration et la résilience. Les défis étaient nombreux : les machines étaient souvent éloignées, hétérogènes (fabriquées par différents constructeurs, utilisant des systèmes d’exploitation différents), et les méthodes de communication existantes (lignes téléphoniques commutées) étaient inadaptées aux échanges de données sporadiques et rapides.
C’est dans ce contexte que l’idée de « réseau » a commencé à prendre forme, avec un accent particulier sur la décentralisation. Les systèmes de communication traditionnels étaient basés sur la commutation de circuits, où une connexion dédiée (comme une ligne téléphonique) était établie et maintenue pendant toute la durée de la communication. Ce modèle était inefficace pour les données informatiques, qui sont envoyées par « rafales » courtes et intermittentes.
L’idée révolutionnaire de la commutation de paquets est apparue presque simultanément dans plusieurs laboratoires, poussée par des préoccupations différentes mais convergentes. En 1964, Paul Baran, un ingénieur de la RAND Corporation aux États-Unis, travaillait sur la conception d’un réseau de communication résistant à une attaque nucléaire. Il a imaginé une architecture distribuée où les messages seraient découpés en petits « blocs autonomes » ou paquets. Chaque paquet contiendrait des informations sur sa destination et pourrait emprunter différents chemins à travers le réseau, contournant les nœuds endommagés. Cette redondance inhérente garantissait la robustesse du réseau.
Presque en même temps, au Royaume-Uni, Donald Davies du National Physical Laboratory (NPL) a formalisé le terme de « packet switching » (commutation de paquets) en 1968. Il a non seulement théorisé le concept mais a également mené les premières expérimentations locales, démontrant la viabilité de cette approche pour des transmissions de données efficaces. Ses travaux ont contribué à consolider l’idée que les messages pouvaient être découpés en unités plus petites, envoyées indépendamment, et réassemblées à destination.

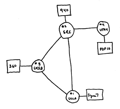
Ces recherches théoriques et expérimentales ont convergé vers le projet américain ARPANET, souvent considéré comme le précurseur direct de l’Internet. Financé par l’ARPA (Advanced Research Projects Agency) du Département de la Défense des États-Unis, ARPANET avait initialement des objectifs militaires : garantir la communication même en cas de destruction partielle du réseau. Cependant, il a rapidement évolué pour devenir un outil essentiel de collaboration entre les universités et les centres de recherche. La première connexion ARPANET a eu lieu en octobre 1969 entre l’Université de Californie à Los Angeles (UCLA) et le Stanford Research Institute (SRI), marquant le début de l’ère des réseaux informatiques à grande échelle. L’architecture d’ARPANET était basée sur les principes de la commutation de paquets, permettant à des ordinateurs hétérogènes de dialoguer grâce à des protocoles de communication définis. Ces premiers pas ont jeté les bases d’un réseau global, mais c’est en France que l’une des innovations les plus fondamentales allait voir le jour.

L’Avance Française : Le Projet Cyclades
Alors que les États-Unis développaient ARPANET, la France, soucieuse de sa souveraineté technologique, ne restait pas inactive. Dans le contexte de l’après-guerre et de la Guerre Froide, le Général de Gaulle initie le « Plan Calcul » en 1966. L’objectif était clair : ne pas dépendre des géants américains de l’informatique, comme IBM, et développer une industrie nationale forte. C’est dans ce cadre qu’est créé l’IRIA (Institut de recherche en informatique et en automatique) en 1967, un acteur clé de la recherche française en informatique.

C ‘est au sein de l’IRIA, en 1971, que Louis Pouzin est nommé à la tête du projet Cyclades. Ingénieur et chercheur d’une rare acuité, Louis Pouzin s’était déjà frotté aux arcanes de l’informatique avancée, notamment lors de séjours au Massachusetts Institute of Technology (MIT) où il a participé au développement du système d’exploitation pionnier Multics. Cette expérience l’a forgé, lui donnant une perspective internationale et une capacité à critiquer les modèles établis. Visionnaire et souvent décrit comme iconoclaste, Pouzin ne craignait pas de remettre en question les dogmes techniques de son époque, affichant une prédilection pour la simplicité, la robustesse et la décentralisation. Pour lui, la complexité était l’ennemi de la fiabilité.
Son génie s’est manifesté dans sa capacité à synthétiser les idées existantes sur la commutation de paquets et à proposer une approche radicalement nouvelle : le concept de datagramme. Alors que les systèmes de commutation de paquets initiaux, y compris ARPANET à ses débuts, pouvaient encore s’appuyer sur une notion de « circuits virtuels » (c’est-à-dire une route prédéfinie ou une « connexion » logique établie avant l’envoi des données), Louis Pouzin a conçu un modèle encore plus pur et décentralisé.
Contrairement à la commutation de circuits (utilisée par la téléphonie classique, où un chemin est dédié et maintenu pour toute la durée de la communication) ou même aux premières implémentations de commutation de paquets avec circuits virtuels, le modèle du datagramme de Pouzin repose sur une absence totale de « connexion » préalable au niveau du réseau. Pour lui, chaque paquet de données, qu’il a appelé « datagramme », est une entité autonome et indépendante.

Un datagramme est composé de deux parties principales :
- L’en-tête : Il contient toutes les informations essentielles pour le routage du paquet, notamment les adresses de l’émetteur et du destinataire, un numéro d’identification, un numéro de séquence (utile pour le réassemblage des paquets à destination), et une somme de contrôle pour vérifier l’intégrité des données.
- Les données utiles : Le message ou une partie du message que l’on souhaite transmettre.

Le principe fondamental est le routage indépendant. Lorsqu’un datagramme est envoyé, il est injecté dans le réseau sans qu’aucune route préétablie ne soit nécessaire. Chaque routeur du réseau reçoit le datagramme, examine son adresse de destination, et prend une décision de routage indépendamment de tous les autres datagrammes, même s’ils appartiennent à la même communication. Cela signifie que des datagrammes consécutifs d’une même session peuvent emprunter des chemins différents à travers le réseau et arriver à destination dans le désordre, ou même être perdus. Le réseau lui-même ne garantit ni l’ordre de livraison, ni même la livraison. C’est le rôle des couches logicielles supérieures (par exemple, au niveau des applications) de reconstituer l’ordre, de demander des retransmissions si nécessaire, et de gérer les erreurs.

Les avantages de cette approche sont multiples et fondamentaux pour la robustesse et la scalabilité d’un réseau :
- Robustesse : En cas de défaillance d’un nœud ou d’un lien, les datagrammes suivants peuvent simplement emprunter un autre chemin disponible, sans que la communication ne soit interrompue.
- Flexibilité et adaptation au trafic : Le réseau peut s’adapter dynamiquement aux congestions en acheminant les paquets par des voies moins chargées.
- Simplicité pour les routeurs : Les routeurs n’ont pas besoin de maintenir l’état des connexions ou de l’ordre des paquets ; leur tâche est simplement de transférer chaque datagramme vers sa destination la plus probable. Cela rend les routeurs plus simples et plus rapides.
- Efficacité pour les communications en « rafale » : Idéal pour le trafic informatique, souvent intermittent, où des courtes salves de données sont envoyées.

Le réseau Cyclades, mis en œuvre à partir de 1972, était un réseau expérimental de transmission de données visant à relier les bases de données de l’administration française, mais avec l’ambition de créer un réseau interopérable et accessible sans opérateur centralisé. Il s’agissait d’une infrastructure de recherche avant-gardiste. Grâce au datagramme de Pouzin, Cyclades a placé la France en tête des pays européens dans la recherche sur les réseaux informatiques. L’approche de Pouzin était plus purement décentralisée que celle d’ARPANET à l’époque, et son influence allait se faire sentir bien au-delà des frontières françaises.
Les membres de l’équipe Cyclades mènent une intense action en faveur de la normalisation des architectures de réseaux au plan international à l’ISO (International Standard Organization). Ils contribuent ainsi à ce qui deviendra l’Open Systems Interconnection, une architecture de réseau en sept couches.

Parallèlement aux travaux de l’IRIA sur Cyclades, la France connaissait un autre succès technologique majeur dans le domaine des télécommunications, grâce à un autre acteur clé : Ambroise Roux et son complexe politico-industriel CIT-Alcatel. Le CNET (Centre national d’études des télécommunications) a développé, en collaboration avec Alcatel, le central téléphonique entièrement numérique E10/PLATON. Pour la première fois au monde, un central téléphonique de ce type a été mis en service à Perros-Guirec en 1970. Rebaptisé E10, ce système a été industrialisé en 1975 par Alcatel et commercialisé avec un succès retentissant à la fin des années 1970, devenant un succès mondial. Ce projet, bien que distinct de Cyclades dans sa finalité (la téléphonie vs. les données informatiques), démontrait la capacité de l’ingénierie française à innover et à s’imposer sur les marchés mondiaux des télécommunications. Cette réussite dans un domaine connexe soulignait le potentiel immense de la France en matière de technologies de l’information.


Le Sacre du Minitel et l’Abandon de Cyclades : L’Occasion Manquée
Malgré l’avance technologique et la vision avant-gardiste de Louis Pouzin et du projet Cyclades, l’histoire de l’Internet en France prend une tournure inattendue et, pour beaucoup, tragique. Les années 1970 sont marquées par des décisions politiques et des luttes de pouvoir qui vont sceller le destin de Cyclades.
À peine élu en 1974, le président Valéry Giscard d’Estaing, par une décision politique, dissout le Plan Calcul et la Délégation générale à l’informatique. En 1975, le projet Cyclades est privé de financements vitaux. Sans soutien institutionnel et financier adéquat, le réseau, malgré ses innovations, s’éteint progressivement. Il ne reste alors que des notes techniques, quelques articles de recherche et le souvenir d’un échec cuisant, non pas technique, mais stratégique et politique.
Plusieurs facteurs expliquent cet abandon. Les « rivalités de corps » au sein de l’administration française et la « stratégie conservatrice d’un complexe politico-industriel incarné par Ambroise Roux » ont joué un rôle prépondérant. L’industrie des télécommunications, puissante et centralisée, préférait des solutions propriétaires et contrôlées, par opposition à la vision ouverte et décentralisée de Cyclades. La France était alors en train de développer un autre réseau, le Minitel, qui allait connaître un succès national fulgurant mais s’avérer être une impasse technologique à l’échelle mondiale.

Le Minitel, lancé en 1982 par France Télécom (alors les PTT), était une prouesse pour son temps. Il permettait aux utilisateurs d’accéder à des services en ligne (annuaires, billetterie, messagerie) via un terminal dédié. Ce fut un succès commercial et social incontestable, le premier système d’accès à l’information en ligne à se démocratiser à l’échelle d’un pays. Toutefois, le Minitel était un système fermé, centralisé et propriétaire, basé sur le réseau TRANSPAC, développé par le CNET à la fin des années 1970 pour les entreprises. Tandis que le Minitel brillait en France, son architecture centralisée et ses protocoles propriétaires l’isolaient de la dynamique ouverte et interopérable qui était en train de définir l’Internet.

Pendant que la France se détournait du datagramme et s’enfermait dans le succès de son Minitel, les idées françaises renaissaient de leurs cendres, mais aux États-Unis. Ce fut le « rebond américain ». Vinton Cerf et Robert Kahn, deux figures majeures du développement d’ARPANET et de la recherche en réseaux informatiques, se trouvaient confrontés à un défi croissant : comment interconnecter efficacement des réseaux hétérogènes existants, comme ARPANET, PRNET (un réseau radio expérimental) et SATNET (un réseau satellite) ? Leurs architectures étaient incompatibles, et un nouveau paradigme était nécessaire pour bâtir un « réseau de réseaux » – un internet.

C’est dans ce contexte que l’influence de Louis Pouzin et des travaux sur Cyclades fut cruciale. Pouzin avait régulièrement communiqué avec Cerf et Kahn, partageant ses recherches et ses documents techniques sur le datagramme et le modèle « sans connexion ». Des séminaires, des échanges d’articles et des visites ont permis une véritable pollinisation d’idées. Forts de cette inspiration, Cerf et Kahn conçoivent, à partir de 1974, la suite de protocoles qui allait devenir le TCP/IP (Transmission Control Protocol/Internet Protocol).
La puissance de TCP/IP réside dans sa conception en couches, héritant directement des principes du datagramme pour la couche basse (IP) et ajoutant une couche supérieure (TCP) pour la fiabilité.

- IP (Internet Protocol) : C’est la couche qui met en œuvre le concept du datagramme de Pouzin. IP est responsable de l’adressage des paquets (chaque appareil connecté à Internet reçoit une adresse IP unique) et de leur routage à travers le « réseau de réseaux » sans établir de connexion préalable. IP s’occupe d’acheminer les paquets au mieux, mais ne garantit ni l’ordre d’arrivée, ni la livraison, ni l’absence de duplicata. C’est un service « non fiable » et « sans connexion ». C’est le facteur clé de la scalabilité et de la robustesse de l’Internet.
- TCP (Transmission Control Protocol) : Cette couche fonctionne au-dessus d’IP et fournit un service « fiable » et « orienté connexion » aux applications. TCP prend les données des applications, les segmente, ajoute des numéros de séquence, gère les accusés de réception, demande les retransmissions en cas de perte de paquets, et réordonne les paquets à l’arrivée. C’est TCP qui crée une connexion logique et fiable entre deux applications, même si les paquets sous-jacents sont acheminés de manière non fiable par IP.
Cette architecture en deux couches (IP pour le routage non fiable et TCP pour la fiabilité de bout en bout) a permis de construire un réseau mondial immense et résilient. Le TCP/IP fut officiellement adopté par les États-Unis en 1983 comme standard de l’Internet, remplaçant progressivement le protocole NCP d’ARPANET.
Le datagramme, cette idée rejetée et sous-financée par les élites françaises, est devenu la pierre angulaire du réseau mondial. Alors que la France développait un Minitel brillant mais finalement obsolète, les États-Unis bâtissaient un Internet ouvert, interopérable et extensible, fondé sur des principes inventés… à Rocquencourt. L’histoire de Cyclades est celle d’une occasion manquée, d’une vision sacrifiée sur l’autel de choix politiques et industriels qui ont privé la France d’un rôle de leadership dans la révolution numérique.
L’Internet des Années 1990 à Nos Jours : Explosion et Transformation
L’abandon de Cyclades en France a coïncidé avec l’essor fulgurant de l’Internet basé sur TCP/IP aux États-Unis et dans le reste du monde. Les années 1990 marquent le début d’une ère de démocratisation et de transformation radicale.

La véritable explosion de l’Internet pour le grand public est indissociable du World Wide Web (WWW). Tim Berners-Lee, un chercheur britannique travaillant au CERN (Organisation européenne pour la recherche nucléaire) en Suisse, a développé entre 1989 et 1991 les technologies fondamentales du Web : le HTML (HyperText Markup Language) pour créer des pages, l’HTTP (Hypertext Transfer Protocol) pour les transférer, et les URL (Uniform Resource Locators) pour les adresser. En 1993, l’apparition du navigateur Mosaic (puis Netscape Navigator, Firefox et Internet Explorer) a rendu le Web accessible et visuellement attractif pour le grand public, déclenchant une véritable révolution. Le web a rapidement transformé l’Internet, le faisant passer d’un outil de recherche académique à un médium de communication et d’information universel.

L’accès à l’Internet s’est également généralisé avec l’ère du haut débit. Les connexions par modem téléphonique ont été progressivement remplacées par des technologies plus rapides comme l’ADSL (Asymmetric Digital Subscriber Line) à la fin des années 1990 et, plus récemment, la fibre optique. Cette augmentation spectaculaire de la bande passante a permis la convergence des services : la voix sur IP (VoIP) a rendu les appels téléphoniques gratuits ou peu chers, le streaming vidéo (YouTube, Netflix) est devenu la norme, et les jeux en ligne massifs sont apparus.
Parallèlement, les réseaux mobiles ont connu une évolution fulgurante. Des modestes réseaux 2G des années 90 (permettant la voix et les SMS) aux réseaux 3G, 4G et désormais 5G, la capacité de l’Internet à être accessible partout et à tout moment a explosé. Les smartphones, apparus dans les années 2000, ont mis la puissance de l’Internet dans la poche de milliards de personnes, ouvrant la voie à une utilisation nomade massive et à de nouveaux usages.
Cette ère a également vu l’émergence et la domination de plateformes et de réseaux sociaux massifs. Google (moteur de recherche et écosystème de services), Amazon (commerce électronique), Facebook (réseaux sociaux), Twitter (microblogging), YouTube (partage de vidéos) sont devenus des acteurs centraux de la vie numérique, modifiant la façon dont nous communiquons, consommons et nous informons. Cette « économie des plateformes » a toutefois soulevé des questions cruciales concernant la collecte massive de données personnelles, leur utilisation, et l’influence disproportionnée de ces entreprises.
L’Internet contemporain, malgré ses succès, fait face à de nombreux défis. La cybersécurité est devenue une préoccupation majeure avec la multiplication des attaques informatiques, des vols de données et des cyber-guerres. La vie privée est constamment menacée par la surveillance généralisée et le profilage. La fracture numérique, bien que réduite dans les pays développés, persiste à l’échelle mondiale, limitant l’accès aux opportunités offertes par le numérique pour une partie de la population. Enfin, la gouvernance de l’Internet, initialement décentralisée et collaborative, est de plus en plus sujette à des tensions entre les États, les entreprises et la société civile, chacun cherchant à défendre ses intérêts.
Les Réseaux et l’Internet du Futur : Perspectives pour les 20 Prochaines Années

L’Internet ne cesse d’évoluer, et les 20 prochaines années promettent des transformations aussi profondes que celles que nous avons déjà connues. L’esprit du datagramme, flexible et décentralisé, continuera à façonner les technologies émergentes.
L’informatique quantique et la cryptographie post-quantique sont également à l’horizon. Si les ordinateurs quantiques parviennent à maturation, ils pourraient casser les algorithmes cryptographiques actuels, posant un défi majeur à la sécurité des réseaux. La recherche se tourne déjà vers des solutions de cryptographie post-quantique pour anticiper cette menace. Ces avancées transformeront la manière dont les données sont sécurisées et traitées, ouvrant de nouvelles opportunités pour le calcul complexe.
Le concept de réseaux décentralisés et le Web3 représentent une tentative de revenir aux idéaux d’un Internet plus distribué. Basés sur des technologies comme la blockchain, ils visent à permettre la souveraineté numérique des individus, en leur donnant plus de contrôle sur leurs données et leurs interactions en ligne. Les cryptomonnaies, les NFT (Non-Fungible Tokens) et les applications décentralisées (dApps – Une application décentralisée est une application qui peut fonctionner de manière autonome, généralement grâce à l’utilisation de contrats intelligents, qui s’exécutent sur un système informatique décentralisé, une blockchain ou un autre système de livre distribué) sont les premières manifestations de cette tendance. Le Web3 promet un Internet où les plateformes ne sont pas les propriétaires uniques des données, mais où les utilisateurs contribuent et possèdent une part du réseau. Cela pose néanmoins des défis importants en termes de scalabilité, de régulation, d’interopérabilité et d’adoption par le grand public.
L’intelligence artificielle (IA) sera de plus en plus intégrée au cœur même des réseaux. Les réseaux deviendront auto-configurables et auto-optimisés, capables de s’adapter dynamiquement aux besoins du trafic et aux pannes. L’IA sera utilisée pour améliorer la sécurité en détectant les menaces de manière proactive, pour optimiser la gestion du trafic et pour personnaliser les services offerts aux utilisateurs. Cela soulève cependant des questions éthiques importantes concernant la transparence des algorithmes, la prise de décision automatisée et la potentielle surveillance accrue.
Enfin, des défis environnementaux et éthiques majeurs devront être relevés. La consommation énergétique des infrastructures numériques (centres de données, réseaux) est en constante augmentation, nécessitant des innovations pour une informatique plus durable et « verte ». L’éthique de l’IA, la régulation des grandes plateformes, la lutte contre la désinformation et la garantie d’une inclusion numérique mondiale seront des enjeux cruciaux pour assurer que l’Internet de demain soit un bienfait pour l’humanité. L’esprit du datagramme, axé sur l’ouverture et la résilience, pourrait inspirer des solutions pour une gouvernance plus équilibrée et une technologie plus responsable.
Un Héritage Non Reconnu et une Leçon pour l’Avenir
L’histoire de l’Internet, de ses prémices mécaniques à son déploiement global actuel et futur, est un récit fascinant d’innovation, de vision et de choix stratégiques. L’apport fondamental de la France, à travers le projet Cyclades et la figure de Louis Pouzin, est incontestable et est désormais largement reconnu par les historiens des technologies. Le concept du datagramme, né en France, a été le ferment intellectuel qui a permis la création de l’Internet tel que nous le connaissons aujourd’hui.
Cependant, l’histoire de Cyclades est aussi celle d’un « rendez-vous manqué avec l’avenir ». La France, qui avait les ingénieurs, la vision et les innovations pour être un leader mondial de l’Internet, a sacrifié cette opportunité sur l’autel de choix politiques et industriels de court terme, des rivalités internes et d’une préférence pour des solutions propriétaires et centralisées. Le Minitel, malgré son succès national, a été une distraction coûteuse qui a éloigné la France de la voie ouverte de l’Internet mondial.
Pourtant, la persistance de l’esprit du datagramme dans les technologies actuelles – que ce soit la résilience de nos réseaux, la flexibilité du cloud computing, ou les architectures des futures 5G, 6G et des protocoles quantiques – témoigne de la justesse de cette vision originelle. Ce qui fut ignoré par la France des années 1970 s’impose aujourd’hui comme un fondement universel.
L’histoire de Cyclades est une leçon précieuse. Elle souligne l’importance cruciale de la vision à long terme, de l’indépendance de la recherche, et de la capacité à faire des choix stratégiques audacieux en matière de technologie et de souveraineté. Pour l’avenir, face aux défis de la cybersécurité, de la souveraineté numérique, de l’éthique de l’IA et de l’impact environnemental, il est plus que jamais essentiel de s’inspirer des principes fondateurs de l’Internet : ouverture, interopérabilité et décentralisation. La France, forte de cet héritage non pleinement reconnu, a l’opportunité de réapprendre de son histoire pour retrouver une place de leader dans la construction du cyberespace de demain, en promouvant des valeurs d’ouverture et de collaboration qui ont, ironiquement, été ses propres inventions.
Bibliographie Sélective
Abbate, Janet (1999). Inventing the Internet. MIT Press. 264 p.
Baran, Paul (1964). On Distributed Communications Networks. RAND Corporation. 360 p.
Barber, Derek L. A. (1972). The European computer network project. International Conference on Computer Communication, Washington D.C., ocotber 1972, 192–200.
Berners-Lee, Tim (2001). L’invention du Web. Paris : Éditions Robert Laffont. 318 p.
Carr, Charles S., Crocker, Stephen D., Cerf, Vinton G. (1970). Host-Host communication protocol in the Arpa network. Proceedings of the Spring Joint Computer Conference, 36, 589–597.
Castells, Manuel (2001). La Galaxie Internet. Fayard. 320 p.
Cerf, Vinton Gray, Kahn, Robert Elliot (1974). A protocol for packet network intercommunication. IEEE Transactions on Communications, 22(5), 637–641.
Chambon, Jean-François, Elie, Michel, Le Bihan, Jean, Le Lann, Gérard, Zimmermann, Hubert (1973). Spécifications fonctionnelles des stations de transport du réseau Cyclades — Protocole STST. I.R.I.A. Rapport technique SCH502.3., mai 1973
Cocanower, A. B. (1971). Functional characteristics of CCOS.MERIT computer network. Technical report, 7june 1973, 39 p.
Crocker, Stephen, et al. (1972). Function oriented protocols for the ARPA computer network. Proceedings of the Spring Joint Computer Conference, 40, 271–279.
Davies, Donald Watts (1973). The Control of Computer Communication Networks and Their Use for On-Line Information Systems. Institution of Electrical Engineers. 42 p.
Dijkstra, Edsger W. (1972). Notes sur la programmation structurée. Traduction du rapport EWD249.
Elie, Michel, Zimmermann, Hubert, et al. (1972). Spécifications fonctionnelles des stations de transport du réseau Cyclades. SCH 502. 105 p.
Galloway, Scott (2018). Les Quatre : L’ADN caché d’Amazon, Apple, Facebook et Google. Éditions L’Observatoire, novembre 1972. 352 p.
Girardi, S. (1972). SOC project, an experimental computer network. International Computer Symposium, Venice, April 1972, 210–220.
Grange, Jean-Louis, Pouzin, Louis (1973). CIGALE, la machine de commutation de paquets du réseau Cyclades. Congrès AFCET 73, 24 p.
Hafner, Katie, Lyon, Matthew (1999). Où les sorciers s’arrêtent tard : Les origines de l’Internet. Paris : Éditions du Seuil. 384 p.
Ifrah, Georges (2000). Histoire universelle des chiffres. Robert Laffont. 1042 p.
ISO/TC 97/SC 6 (1973). Doc. 731 Procédures HDLC. Projet de norme internationale sur la structure de trame. Rapport technique, février 1973, 4 p.
Le Lann, Gérard (1977). Network Protocols and Formal Verification. INRIA Reports. 55 p.
Lessig, Lawrence (2000). Code : Version 2.0. Paris : Presses universitaires de France. 432 p.
Levy, Pierre (1994). L’intelligence collective : Pour une anthropologie du cyberespace. La Découverte. 256 p.
Ligonnière, Robert (1987). Préhistoire et histoire des ordinateurs : Des origines du calcul aux premiers calculateurs électroniques. Paris : Robert Laffont. 356 p.
Musso, Pierre (2003). Télécommunications et philosophie des réseaux : La vie du « commutateur ». Presses Universitaires de France. 412 p.
Pouzin, Louis (1973). Address format in Mitranet. Note NIC 14497, INWG 20. January 1973.
Pouzin, Louis (1973). Presentation and Major Design Aspects of the Cyclades Computer Network. INRIA. 28 p.
Pouzin, Louis, Zimmermann, Hubert (1978). A Perspective on the Cyclades Project. Proceedings of the Fourth International Conference on Computer Communication. Kyoto, Japan. 10 p.
Reinhardt, Éric (2018). Comédies françaises. Gallimard. 496 p.
Roberts, Lawrence G., Wessler, Barry D. (1970). Computer network development to achieve resource sharing. Proceedings of the Spring Joint Computer Conference, 36, 543–559.
Rutledge, Richard M., et al. (1969). An interactive network of time-sharing computers. 24th ACM National Conference, August 1969, 431–441.
Scantlebury, Roger A. (1969). A model for the local area of a data communication network – Objectives and hardware organization. ACM Symposium on Problems in the Optimization of Data Communications Systems, 179–201.
Truong, Jean-Michel (2000). Totalement inhumaine. Éditions du Seuil. 400 p.
Truong, Jean-Michel (2025). L’IA, et après ? : imiter la raison, former un cerveau, laisser germer la vie. Delachaux et Niestlé. 224 p.
Turing, Alan (1937). Sur les nombres calculables, avec une application au problème de la décision. Traduction J. Mosconi, 1987.
Tymes, LaRoy R. (1971). Tymnet, a terminal oriented communication network. Proceedings of the Spring Joint Computer Conference, 38, 211–216.
Von Neumann, John (1945). Premier brouillon d’un rapport sur l’EDVAC. Traduction française.
Zimmermann, Hubert (1980). OSI Reference Model – The ISO Model of Architecture for Open Systems Interconnection. IEEE Transactions on Communications, 28(4), 425–432.
Zuboff, Shoshana (2019). L’Âge du capitalisme de surveillance. La Découverte. 752 p.
